TTY-changelog #040
GPT-5.5, DeepSeek V4 Pro, Kimi K2.6, and Qwen3.6 claim coding SOTA, Vision Banana turns image generation into a vision model, Google ships dual agentic TPUs, and open 3D world models drop.
👉 Originally posted on TTY
Events
🇺🇸 AgentCon Silicon Valley in Mountain View (May 4) – Free conference for developers building with AI agents at the Computer History Museum. Sacha Morard is speaking on token optimization for coding agents, covering techniques, frameworks, and live session data from Edgee.
🇳🇱 Amsterdam Tech Week (June 16–19) – The second edition of Amsterdam Tech Week returns across four days with startup events ranging from technical workshops to networking sessions, organized by local startups and VCs.
Audio
🎙 Headroom expands to voice – Headroom, the open source context compression layer for LLMs that saved 100B tokens in 25 days, has launched kompress-voice, a new model for voice applications. It integrates with ElevenLabs and Cartesia, runs locally, claims significant token savings, and does not collect user data. The team is seeking early design partners. 👉 Tejas Chopra.
Autonomous Agents
🎥 Skills, MCP, and code mode demystified – A 20-minute must-watch talk at the MCP Dev Summit with Nikolay Rodionov from Alpic breaking down the three paradigms: Skills are context-efficient reusable prompts loaded progressively, MCP provides structured cross-platform tool access, and Code Mode executes scripts in a sandbox to avoid context bloat.
🦀 Microsoft Rust guidelines for agents – Microsoft’s Pragmatic Rust Guidelines, covering idiomatic API design, safety, documentation, and testing, are available as a single agent-ready text file. Dropping it into a coding agent skill showed measurable quality improvements in generated Rust code. https://microsoft.github.io/rust-guidelines/agents/all.txt
📦 Multi-language agent skills pack – Youssef Tharwat’s set of agent skills, inspired by Microsoft’s Rust guidelines, covers lint rules, design guidelines, and idiomatic patterns for Rust, Python, and TypeScript. It draws from Microsoft guides, Google style guides, Ruff, Oxlint, and GoF patterns. Works with Claude Code, Codex, Cursor, and 30+ other agents via npx skills add.
Image, Video & 3D
🍌 Vision Banana unifies vision and generation – Google DeepMind’s Vision Banana instruction-tunes an image generator to handle segmentation, depth estimation, surface normals, and other vision tasks by treating them as image generation problems, beating specialist models zero-shot. Paper is here.
Reframes all 2D and 3D perception tasks as RGB image generation, producing outputs like segmentation masks or depth maps directly rather than through separate decoder heads.
Beats Segment Anything Model 3 on segmentation tasks and the Depth Anything series on metric depth estimation without any task-specific training or architecture changes.
Achieves these results via lightweight instruction-tuning on top of Nano Banana Pro (NBP) without sacrificing the base model’s image generation capabilities.
🔥 ChatGPT Images 2.0 released – OpenAI released a new image generation model for ChatGPT with significantly improved text rendering, multilingual support, and advanced visual reasoning. Community testing confirmed sharper text output, though the model dropped alpha layer support compared to gpt-image-1.
🗺 LingBot-Map autoregressive 3D reconstruction – A purely autoregressive 3D foundation model achieving approximately 20 FPS at 518x378 resolution over sequences exceeding 10,000 frames. Builds geometric context attention with long-context modeling while maintaining a compact streaming state, with no post-processing or optimization passes required.
🎭 Image models for sensitive content – Community explored which image generation models handle violent or crime scene content after mainstream options (GPT-image-2, ByteDance, Grok) blocked or distorted requests. Open alternatives were suggested including Flux via Pruna AI endpoints.
Cyber
🔐 Ctrl+G, AI cyber defense lab, launches – The startup focuses on building AI that can genuinely patch vulnerabilities across an entire codebase. The team spent three months building an automated data pipeline covering 80,000 CVEs and found that current top models consistently fail to patch vulnerabilities efficiently even when claiming success.
They’re looking for strong red/blue team experts 👉 Paco Villetard
🔒 Cloudsmith proxies AI model downloads – Cloudsmith’s artifact management platform now proxies and caches Hugging Face models and datasets, letting organizations govern which AI models reach their pipelines, with vulnerability scanning, policy enforcement, audit trails, and global distribution.
🛡 CVE-free base images on demand – Echo rebuilds popular open source container base images with only necessary components, patches all known vulnerabilities, and delivers them directly to your registry. Claims 99%+ vulnerability reduction and zero code changes needed in existing Dockerfiles, with a 24-hour CVE handling SLA.
Infrastructure
⚡ Google’s eighth-gen TPUs for agents – Google introduced two new chips built for the age of AI agents: TPU 8t for training, which can link up to 9,600 chips into a single cluster, and TPU 8i for inference, which runs models 80% more efficiently per dollar than the previous generation.
🇫🇷 Scaleway powers France’s health data – Antoine Millet announced the company was selected to host France’s Health Data Hub following an assessment across 350+ technical criteria covering security, resilience, and strategic autonomy. The platform will host a copy of the National Health Data System database.
Language Models
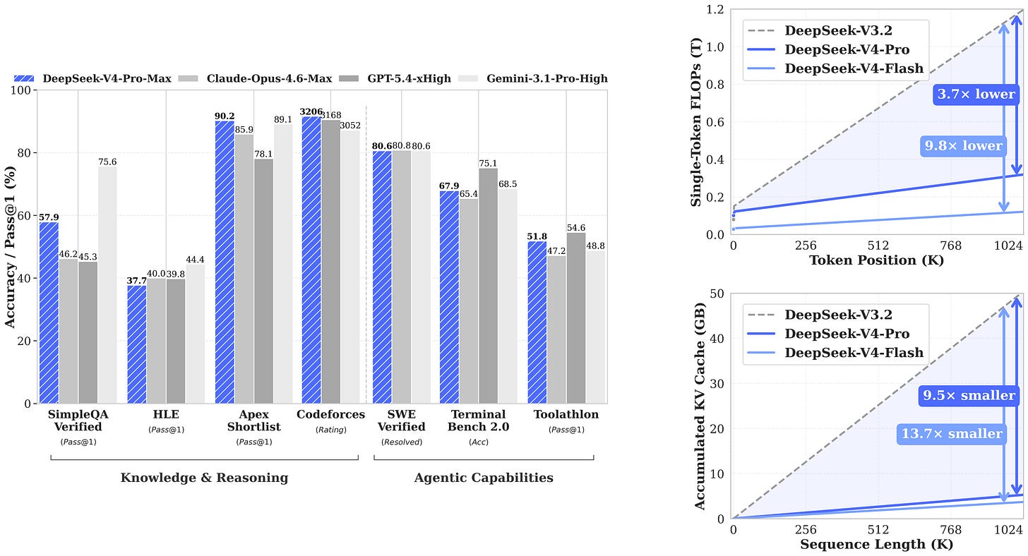
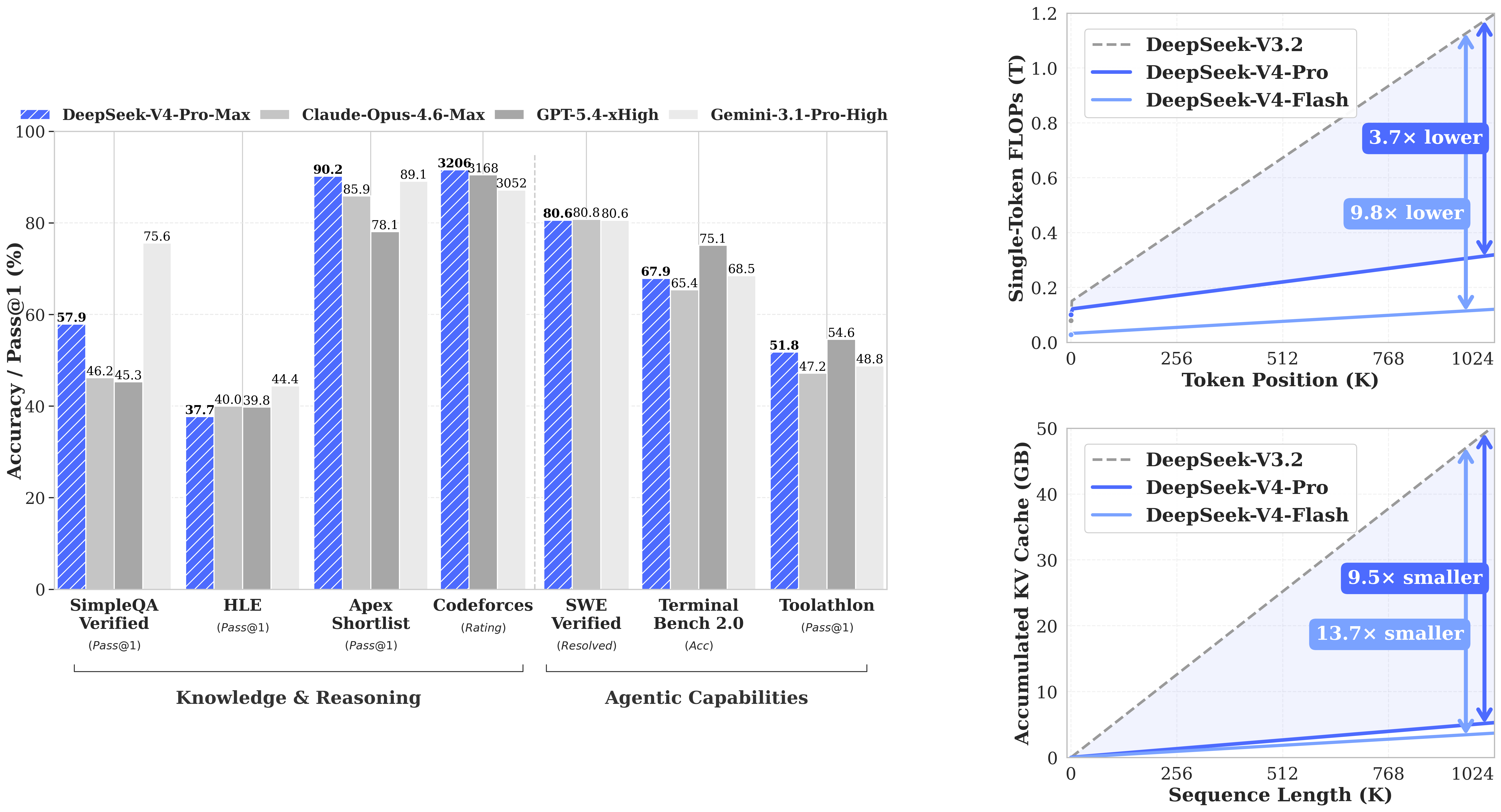
🧠 DeepSeek-V4-Pro hits 1M context – DeepSeek released V4-Pro, a 1.6T parameter MoE model (49B activated) supporting a 1 million token context window. It combines Compressed Sparse Attention with Manifold-Constrained Hyper-Connections and requires only 27% of single-token inference FLOPs versus DeepSeek-V3.2 at 1M context.
🤖 OpenAI introduces GPT-5.5 – GPT-5.5 is OpenAI’s new frontier model targeting agentic coding, computer use, and long-horizon knowledge work. It matches GPT-5.4 per-token latency while scoring higher on benchmarks, and uses fewer tokens to complete the same Codex tasks.
📊 Qwen3.5-Omni scales to hundreds of billions – The Qwen3.5-Omni technical report covers an omni-modal model scaled to hundreds of billions of parameters with a 256k context window, trained on a massive heterogeneous dataset including millions of hours of audio-visual data. It claims improvements in multilingual understanding and emotional nuance in speech generation.
🔏 OpenAI Privacy Filter open-sourced – OpenAI released Privacy Filter, a 1.5B-parameter Apache 2.0 token-classification model adapted from GPT-OSS to detect and mask personally identifiable information in text. It runs locally in the browser via WebGPU, making it OpenAI’s first open model of 2026.
MLOps
🔀 Orq.ai router for LLM traffic – Orq.ai’s LLM router provides real-time cost visibility, governance, and vendor lock-in prevention across model providers. It runs on-prem with minimal footprint, supports both managed and bring-your-own API keys, and integrates natively with Claude Code via MCP.
Programming
🛠 AI prototypes need programmer review – DHH argued that while AI has given designers prototyping superpowers, models still cannot reliably one-shot production-ready code for large critical applications without programmer review or reimplementation, citing Basecamp as a concrete example where AI-generated designer code regularly requires rework.
🌙 Kimi K2.6 claims coding SOTA – Kimi claims top scores across most major agentic benchmarks. Under the hood it runs up to 300 parallel sub-agents, handles 4,000+ tool calls in a single run, and can sustain autonomous execution for over 12 hours across frontend, DevOps, and performance optimization tasks.
🧑💻 Qwen3.6-27B targets coding tasks – Alibaba released a 27B-parameter open-source AI model that codes and reasons at near-flagship level, often beating much larger models on coding and math benchmarks, and it also understands images and video.
📋 Anthropic explains Claude Code regression – Anthropic traced three separate issues affecting Claude Code since March: a default reasoning effort downgrade from high to medium, a caching bug that cleared prior reasoning on every turn after a session went idle, and a verbosity-limiting system prompt addition that hurt coding quality. All three were fixed by April 20.
Robotic, World AI
🌐 MultiWorld models multi-agent worlds – MultiWorld is a unified framework for action-controllable, multi-view consistent video world modeling across multi-player games and multi-robot collaboration, addressing the single-agent limitation of current video world models.
🌍 HY-World 2.0 open 3D world model – Tencent’s HY-World 2.0 generates navigable 3D scenes (3DGS/mesh) from text or a single image, importing directly into Unity, Unreal Engine, and Isaac Sim, positioning itself as the first open-source state-of-the-art 3D world model.
Other topics
📓 Anti-Agent is now a notebook – Louis Manhes announced Anti-Agent evolved into a full progressive notebook with rich-text editing, agentic deep research and synthesis, and cognitive training techniques in one minimalist workspace.
The Lunch
Each week, TTY Lunch brings together exceptional builders around the table, this time under bright sun on the Tech Makers rooftop in Amsterdam. Today’s lineup included Alina Dumitrache and Fabien Bouhier (Tech Makers), Guillaume Lesur (Wire), Justin Halsall (rrweb.io), Sohrab Hosseini (orq.ai), Robert Hommes and Vladimir Vučković (Moyai), Wilco Kruijer (ReJot), and Zac Allen (Zero Servo).
Here were some of the topics:
Red-Green-Refactor with Agents
Useless Memory, Thin Harness, Fat skills
MCP + Skills, The Distribution of Roles
The Unsolved Frontier For Coding Agents
Finding the Right Co-founder
New Members
🇳🇱 Zac Allen – Founder @ Zero Servo · Robotics gaming platform doubling as an embodied data platform. Currently building Zero Servo while geeking out on Arc Raiders. Special power: will quote from random films and TV series at any given moment. 📍 Amsterdam, Netherlands.
🇬🇧 Arnaud Thiercelin – Founder & CEO @ Rogue Cortex · Stealth tools to accelerate mobile robotics development. Author of the book The Pirate Way. Special power: dunno, but I wrote a book called the Pirate Way. 📍 Guildford, UK.
Contributors This Week
Robert Hommes (Moyai.ai), Gabriel Olympie (2501.ai), Félix Raimundo (Tychobio), Tejas Chopra (Netflix, Headroom), Maziyar Panahi (OpenMed), Aly Moursy (The Artificial Intelligence Company of Cairo), Paco Villetard (Ctrl+G), Sohrab Hosseini (Orq.ai), Amine Saboni (Pruna.ai), Arnaud Thiercelin (Rogue Cortex), Kemal Toprak Uçar (Continuity), Koutheir Cherni (Guepard), Antoine Millet (Scaleway), Benoit Kohler (Opsmill), Charles Sonigo (Alpic), Ihab Bendidi (Recursion), Pierre Chapuis (Finegrain), Stan Girard (The Vibe Company), Youssef Tharwat (Noodlbox), Zac Allen (Zero Servo), Benjamin Trom, Gilles Seghaier (Astran), Julien Seveno-Piltant, Karim Matrah (Contrast), Louis Manhes (Genario), Quentin Dubois (OSS Ventures), Remi Kaito (Arcade AI), Sacha Morard (Edgee), Vladimir de Turckheim, Wissam Antoun (Inria)








